27 ноября, 20:56
Великобритания отложила санкции против Lukoil International до 26 февраля 2026 года


Energy Today
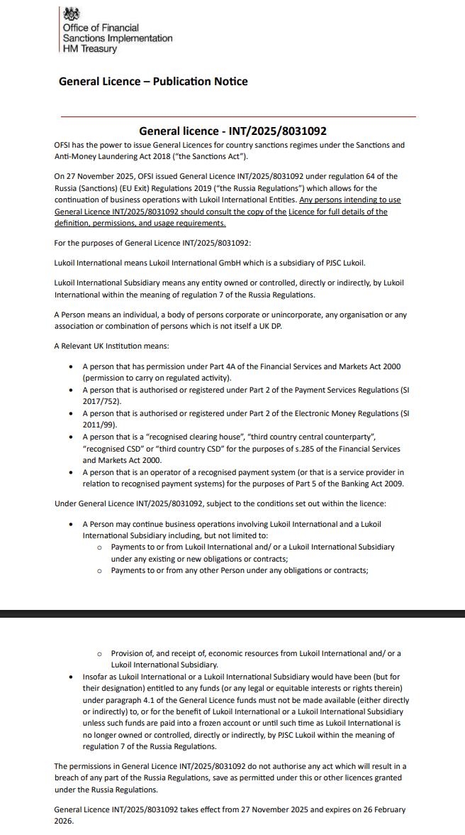
Великобритания отложила введение санкций против Lukoil International до 26 февраля 2026 года Санкции должны были вступить в силу незадолго до полуночи в пятницу 28 ноября Ждем США
Политика11 часов назад

Чистильщик Поморья
Великобритания откладывает санкции против Lukoil International до февраля Bloomberg Лондон перенёс введение санкций против международного подразделения Лукойла и его дочерних компаний на 26 февраля хотя меры должны были вступить в силу уже 28 ноября Как отмечает Bloomberg это очередной пример того как западные правительства действуют осторожно при санкционном давлении на крупные энергетические компании России brieflyru rusbri
Политика9 часов назад
Похожие новости



+3



+1



+1







+2



+3

Великобритания продлила лицензию для Лукойла на международные операции
Экономика
10 часов назад


+3
Три компании заинтересованы в покупке активов Лукойла в Румынии
Политика
1 день назад


+1
Путин о неожиданных санкциях США против российских нефтяных компаний
Политика
14 часов назад


+1
Болгария рассматривает покупку активов Лукойла в условиях нового законодательства
Политика
1 день назад



Экономические трудности в России: влияние войны на Украине и рост инфляции
Экономика
12 часов назад


+2
Трейдеры ожидают снятия ограничений на экспорт дизельного топлива с 2026 года
Экономика
20 часов назад


+3